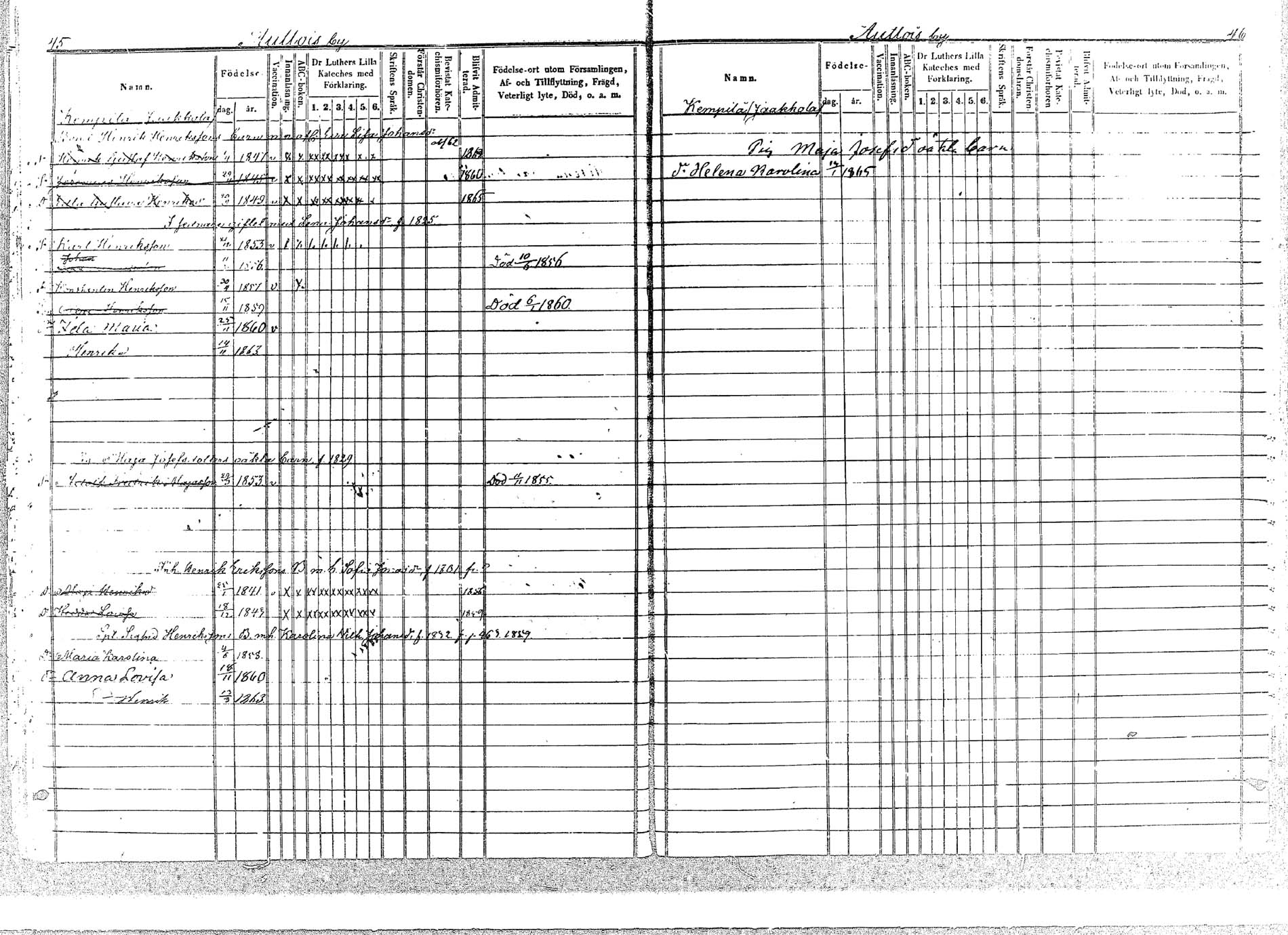
Padasjoki , Lastenkirja, 1855-1866 TK550 Kuva 25 Edellinen Seuraava

[ kuvat/25.jpg ]