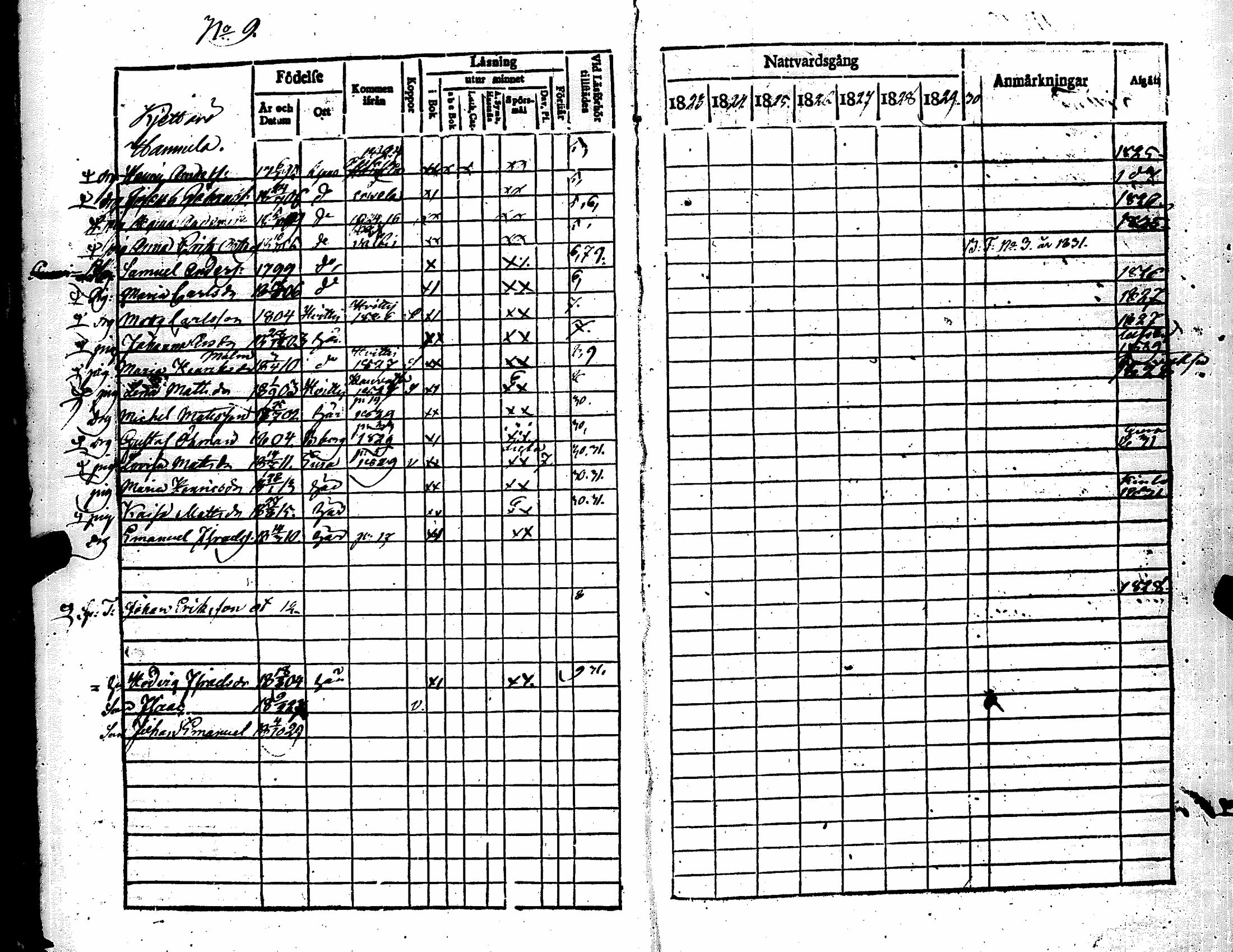
Kokemäki , Rippikirja, 1823-1830 JK538-539 Kuva 13 Edellinen Seuraava

[ kuvat/13.jpg ]