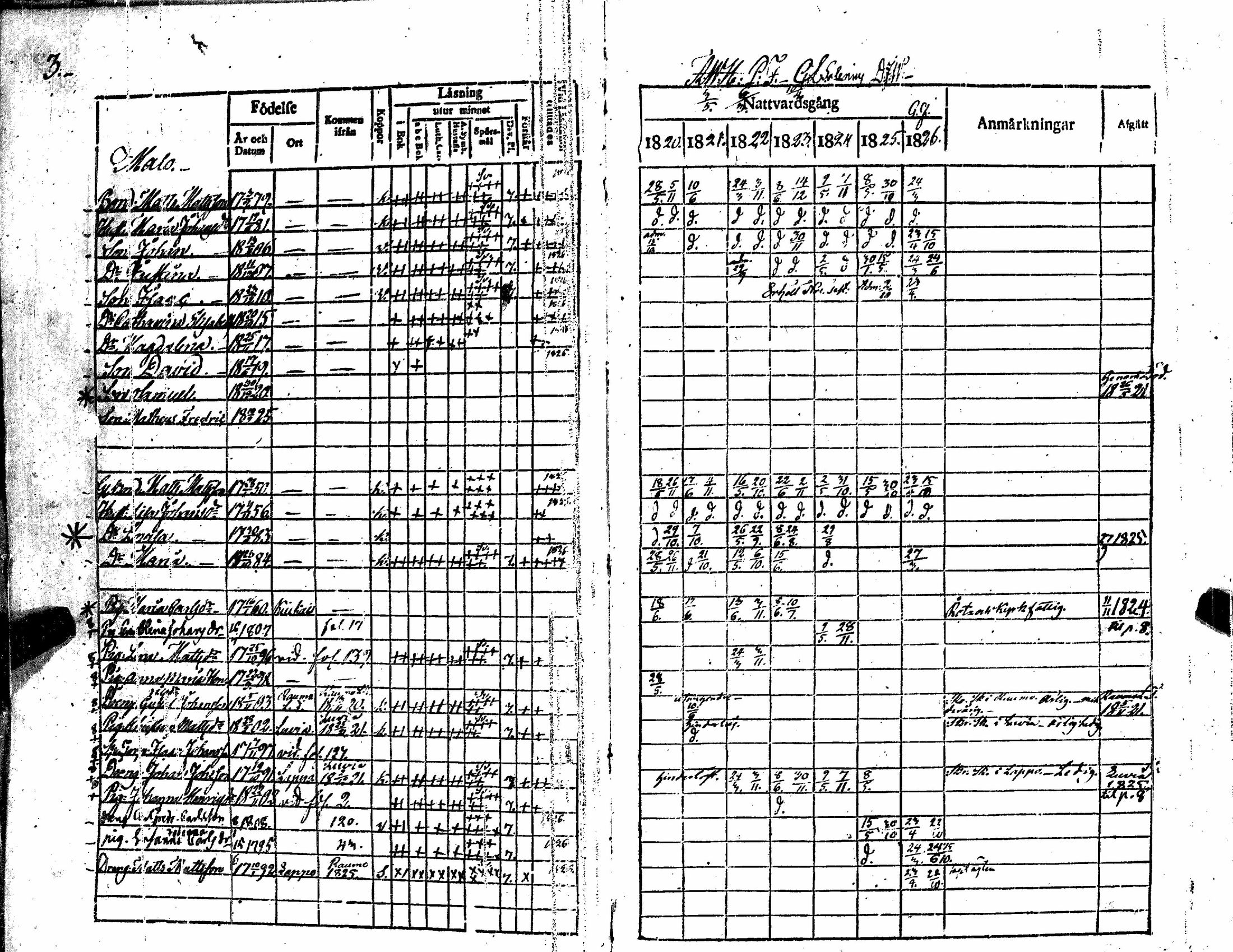
Eurajoki , Rippikirja, 1820-1826 JK355 Kuva 7 Edellinen Seuraava

[ kuvat/7.jpg ]